Lokasi konstruksi adalah lingkungan yang dinamis di mana keselamatan dan stabilitas adalah yang terpenting. Di antara berbagai faktor yang memengaruhi keselamatan konstruksi, perhitungan beban outrigger pada mobile crane sebagai aspek penting. Mengapa demikian? Jawabannya adalah untuk mencegah risiko kelebihan beban.
Beban berlebih dapat menyebabkan ketidakstabilan alat berat, sehingga menimbulkan ancaman besar bagi personel dan pekerjaan proyek konstruksi itu sendiri. Menghitung beban pada outrigger dapat memastikan bahwa alat berat beroperasi dalam batas aman, sehingga mengurangi potensi bahaya dan resiko terguling.
Outrigger adalah penyangga struktural yang dipasang pada alat berat, seperti mobile crane atau truck crane, guna meningkatkan stabilitas. Ekstensi ini secara signifikan memperluas tapak alat berat, memastikannya tetap seimbang selama pengoperasian.

Gambar diatas menyajikan kondisi kondisi beban maksimum dan minimum tersebut sebagai referensi awal untuk melakukan perhitungan baik pada kondisi no load on hook maupun kondsi load on hook untuk berbagai konfigurasi kerja dari boom crane.
Berbagai faktor ikut berperan saat menghitung beban outrigger tersebut. Distribusi berat, pertimbangan medan, dan spesifikasi alat berat memainkan peran penting. Penilaian yang cermat terhadap faktor-faktor ini menjamin perhitungan beban yang akurat dan, akibatnya kita mendapatkan kepastian kondisi lingkungan konstruksi yang lebih aman jika dibanding dengan tidak memperhitungkan hal ini.

Menentukan beban outrigger melibatkan pendekatan yang sistematis. Mengidentifikasi titik-titik beban, menentukan besaran beban, dan memperhitungkan beban dinamis merupakan langkah-langkah penting. Bagian ini memberikan panduan yang komprehensif, yang memungkinkan pembaca bisa melakukan perhitungan beban outrigger dengan tepat.
Ini adalah formulasi ketika beban berayun dan boom berputar dari 0° hingga 360° dimana:
- Wc = weight of the carrier.
- Wu = weight of the superstructure.
- W = weight of the load.
- Wb = weight of the boom.
- Wd = distance counterweight CoG to the crane’s rotational axis
- dc = horizontal distance of COG of the carrier to the crane’s rotational axis (positive towards front).
- du = horizontal distance of COG of the superstructure to the crane’s rotational axis (positive towards front).
- d = lifting radius.
- db =horizontal distance of boom’s (and boom accessories’) COG to the crane’s rotational axis (positive towards front);
- x0 = distance between centroid of outriggers and the crane’s rotational axis (positive towards front).
- dl = distance between the outriggers lengthwise (center to center);
- dt = distance between the outriggers widthwise (center to center);
- α = angle of boom slew from the crane rear to the right front
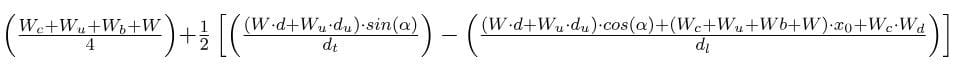
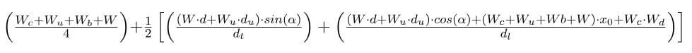
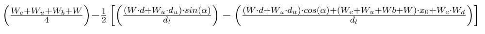
Adapun formula untuk menghitung beban di posisi:
Outrigger di Kanan Depan (Front Right)

Outrigger di Kiri Depan (Front Left)

Outrigger di Kanan Belakang (Rear Right)

Outrigger di Kiri Belakang (Rear Right)

Untuk menghitung beban outrigger pada mobile crane, perlu untuk mempertimbangkan momen beban dan panjang outrigger seperti dl dan dt. Beban outrgger dipengaruhi oleh momen beban, yang merupakan hasil kali antara berat beban (W) dan jarak dari pusat derek ke pusat beban (d).







