Contoh Analisa Jembatan

Jembatan gelagar T beton bertulang dengan panjang bentang 14 m di Desa Krajan Kalipuro Banyuwangi akan dilewati untuk pengantaran 6 unit Power Transformer seberat 152 Ton dari Banyuwangi ke GITET Kalipuro dengan menggunakan kendaraan khusus (Multi-Axle Trailer). Jembatan ini terdiri dari satu lajur jalan raya dengan tebal perkerasan aspal sekitar 5 cm. Gambar jembatan dapat dilihat pada gambar berikut ini.

Gambar Potongan Melintang Jembatan sebagaimana diilustrasikan dibawah ini.

Jembatan ini akan dilalui oleh kendaraan beban khusus seperti gambar dibawah ini dengan konfigurasi transportasi seperti dibawah ini.

Gambar konfigurasi trailer pada saat melintas di Jembatan Kalipuro Banyuwangi dapat diilustrasikan sebagaimana dibawah ini:

Untuk itu, perlu dilakukan beberapa perhitungan struktur sebagaimana yang ditentukan dalam Dokumen Teknis Evaluasi Struktur Jembatan untuk Dispensasi Penggunaan Jalan yang memerlukan pelakuan Khusus Kemetrian Pekerjaan Umum & Perumahan Rakyat sesuai dengan Surat Edaran No. 04/SE/Db/2020 tangal 23 Maret 2020.
SCOPE OF WORK
Melaksanakan kegiatan inspeksi dan evaluasi teknis terhadap kondisi struktur jembatan eksisting yang berada pada jalur pengiriman 6 (enam) unit trafo, masing-masing dengan berat 152 ton. Pemeriksaan ini mencakup peninjauan visual, pengumpulan data teknis lapangan, serta perhitungan manual terhadap kapasitas struktur, termasuk momen lentur dan gaya geser pada elemen-elemen utama jembatan.
Analisis ini dilakukan untuk memastikan bahwa struktur jembatan memiliki daya dukung yang mencukupi dalam menahan beban luar biasa yang ditimbulkan oleh penggunaan multi-axle trailer. Tujuan utama dari kegiatan ini adalah menjamin keselamatan transportasi serta mencegah potensi kerusakan struktur selama proses pengiriman berlangsung.
TANGGUNG JAWAB

Penanggung jawab yang tercantum di bawah ini memiliki wewenang dan tanggung jawab yang berlaku secara efektif sebelum pelaksanaan dan selama pelaksanaan kegiatan pengiriman, sesuai dengan hasil evaluasi yang tercantum dalam dokumen teknis:
Project Manager: bertanggung jawab atas persetujuan akhir dokumen analisa jembatan, memastikan bahwa seluruh analisis teknis dan rekomendasi telah sesuai dengan standar dan persyaratan yang berlaku.
Site Manager: bertanggung jawab atas pemantauan, verifikasi, serta penerbitan dokumen ini, termasuk revisi-revisi yang mungkin diperlukan berdasarkan kondisi lapangan.
HSE (Health, Safety and Environment) Officer: bertanggung jawab untuk memastikan bahwa seluruh kegiatan pemeriksaan dan implementasi hasil dokumen dilakukan dengan memperhatikan aspek keselamatan kerja, keselamatan transportasi, dan perlindungan terhadap lingkungan sekitar.
DATA KENDARAAN KHUSUS
Terdapat banyak jenis kendaaran beban khusus dan alat angkut khusus. Setiap jenis kendaraan beban khusus dan alat angkut khusu memiliki konfigurasi gandar yang berbeda. Berikut adalah data kendaraan khusus yang akan digunakan dalam transportasi ini:

RENCANA BEBAN
Berikut adalah rencana beban saat transportasi dengan konfigurasi seperti gambar 3 diatas:
- Berat Cargo = 152.00 Ton
- Berat multi-Axle Trailer = 00 Ton (berat per axle line ± 3.357 ton)
- Berat Accessories = 1.00 Ton
- Total Berat Cargo + Transporter = 200.00 Ton
- Jumlah Axle Line = 14 line
- Jumlah Axle = 28 Axle
- Load Per Axle = 7.14 Ton per Axle
- Load Per Axle Line = 14.28 Ton per Axle Line
- Tambahan Faktor Lain Lain = 125%
- Load Per Axle Line = 17.86 Ton Per Axle Line
- Kapasitas Load per Axle Line = 25.00 Ton per -+Axle Line
- Utilisasi Kapasitas Load Per Axle Line = 71.44%
- Luas Shadow Area dibawah Deck = 21-meter x 3-meter = 63.00 m2
- Load Distribution Transporter = 3.175 Ton/m2
NILAI KONDISI JEMBATAN
Peraturan Menteri PUPR No. 041/PRT/M/2015 tentang Penilaian Kondisi Jembatan dan Bangunan Pelengkapnya maka hasil pemeriksaan dan penilaian yang telah dilakukan terhadap Jembatan eksisting didapatkan nilai kondisi NK untuk gelagar T beton bertulang adalah 3 atau Sedang (Poor) dimana sudah ada kerusakan sedang, dan fungsi mulai terganggu.

DATA JEMBATAN EXISTING
Pemodelan dan analisis struktur existing jembatan diawali dengan mengumpulkan dan mengintegrasikan seluruh data teknis yang tersedia, seperti yang tercantum dalam laporan pemeriksaan. Geometri utama struktur mengacu pada bentang sepanjang 14-meter dengan dua buah gelagar utama (nb=2) berukuran lebar 400 mm (bw) dan tinggi 1000 mm (hb), yang disusun dengan jarak antar gelagar (s) 1.5 meter. Pelat lantai jembatan memiliki tebal (ts) 250 mm dan diperkuat oleh dua barrier jalan (nbarrier=2) dengan luas penampang masing-masing 4,200,000 mm². Untuk analisis, lebar efektif pelat (bef) ditetapkan sebesar 2000 mm berdasarkan evaluasi kriteria yang berlaku. Pembebanan struktur memperhitungkan berat sendiri beton (γc = 30 kN/m³) dan lapis perkerasan aspal setebal 50 mm (γaspal = 22 kN/m³). Data-data kunci ini kemudian menjadi dasar dalam membangun model struktural untuk mengevaluasi kapasitas, kinerja, dan keamanan jembatan existing di bawah berbagai skenario pembebanan.
PERHITINGAN GAYA DALAM STRUKTUR
Berikut adalah tabel contoh hasil perhitungan awal:

Karena beban merata, maka momen dan geser akibat beban MS dan MA di tengah bentang ditentukan dengan persamaan-persamaan berikut:

HITUNG FAKTOR DISTRIBUSI BEBAN HIDUP
Beban lalu lintas perlu ditinjau pada gelagar eksterior dan interior. Pada kasus ini, efek beban lalu lintas yang ditinjau adalah efek dari beban truk. Efek beban kendaraan truk pada gelagar ditentukan dengan mengalikan gaya dalam akibat beban truk dengan factor distribusi.
Modulus Elastisitas Material:

n digunakan jika material berbeda, dalam kasus ini bernilai 1




Nilai-nilai ini berguna untuk menghitung momen inersia total, tegangan lentur maksimum, serta distribusi beban hidup antar gelagar berdasarkan kekakuan penampang.
GAYA DALAM PADA GELAGAR AKIBAT BEBAN KENDARAAN KHUSUS
Bridge Properties berdasarkan data diatas didapatkan:

Hasil adalah:
- Load Per Axle Line = 178.60 kN
- Jarak per Axle Line = 1.50 meter
- Maximum Axle Line diatas Jembatan 14m = 10 axle line
- Ra = 1163.20 kN
- Rb = 1153.55 kN
- Modulus Elasticity = 25743 N/mm2
- Moment of Inertia = 8152499 cm4
- Axle Area = 7200 cm2
Berdasarkan SNI 1725:2016 pembebanan jembatan, faktor beban dinamis ditentukan berdasarkan panjang bentang jembatan. Untuk panjang jembatan 14 m maka beban rencana harus diperbesar sebesar 40%.

- Jarak antar Gelagar (s) = 1.5m = 1500mm
- Faktor Beban Dinamis FBD = 1 + 0.4 = 1.4
- Beban Garis Terpusat = 49 kN/m dari rumus:

- PBGT = 102.90 kN (dikonversi dari N ke kN)
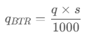
Untuk panjang Jembatan ≤ 30 m maka nilai q = 9 kPa
Beban terbagi Rata QBTR = 14 kN/m dari rumus:

Nilai Momen BGT (MBGT): 360 kN.m
Gaya dalam maksimum akibat beban garis terpusat (BGT) di Tengah bentang untuk Jembatan 14m nilai MBGT-nya adalah 360 kN.m dari perhitungan:
![]()
Gaya Geser akibat beban garis terpusat ditengah bentang adalah 51.45 kN dari:

Gaya dalam maksimum akibat beban terbagi rata (BTR) di tengah bentang adalah 331 kN.m dari:

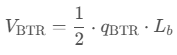
Sedangkan Gaya Geser akibat BTR (VBTR) adalah 94.50 kN dari:

Total Moment adalah sebesar 691 kN.m dari persamaan:
![]()
Sehingga Momen Maksimum Jembatan adalah 691 kN.m
Total Gaya Geser adalah sebesar 145.95 kN dari perhitungan:
![]()
Sehingga Gaya Geser maksium: 145.95 kN
KOMBINASI PEMBEBANAN
Perhitungan kombinasi pembebanan untuk faktor beban diambil dari SNI 1725:2016 Pasal 6.1 sebagai berikut:
Faktor Beban Dinamis FBD = 0.3
Kombinasi Momen Ultimit 1
![]()
Kombinasi Gaya Geser Ultimit 1
![]()
Kombinasi Momen Servis (Ms)
![]()
Kombinasi Gaya Geser Servis (Vs)
![]()
Hasil Kombinasi Pembebanan Ultimate (Kuat 1)
- Momemn Gelagar Interior: 69 kN.m
- Gaya Geser Gelagar Interior: 54 kN
Hasil Kombinasi Pembebanan Ultimate (Layan 2)
- Momen Layan 2: 97 kN.m
- Gaya Geser Layan 2: 46 kN
Perhitungan kombinasi pembebanan untuk faktor beban diambil dari Tabel 20 dan Tabel 21 untuk beban khusus dan alat angkut khusus sebagai berikut:

Bandingkan gaya dalam akibat beban truk dan beban lajur. Untuk pengaruh momen maksimum di sebabkan oleh beban lajur (BTR dan BGT) karena menimbulkan momen lebih besar. Pada Tabel 20 terdapat evaluasi izin untuk kendaraan beban khusus dan alat angkut khusus yang diperbolehkan untuk beroperasi secara Tunggal, sehingga hasilnya adalah:

Dari hasil analisa diatas jelas bahwa jembatan tidak boleh dilalui kendaraan khusus dengan skema diatas karena secara perhitungan dan simulasi pembebanan hasilnya tidak kuat. Untuk memperkuat analisa struktur harus dilakukan beberapa uji (misalnya hammer test, dll), analisa kapasitas penampang atau kapasitas lentur jembatan, pemeriksaan gelagar terhadap kapasitas lentur, pemeriksaan gelagar terhadap kapasitas geser, bridge load rating, pengunaan software seperti SAP 2000 atau analisa menggunakan CIVIL MIDAS dengan skema pemodelan 3D seperti dibawah ini.

Pada kasus ini, dilakukan simulasi dimana pada saat itu jembatan hanya dilewati oleh kendaraan beban khusus dengan alat angkut khusus saja, sehingga kendaraan beban khusus dengan alat angkut khusus diposisikan di tengah pada arah transversal jembatan.
REKOMENDASI
Kondisi jembatan eksisting saat ini adalah kritis (Tidak Aman) jika berdasarkan perhitungan diatas, dan berdasarkan pertimbangan biaya, efesiensi waktu, dan metode pelaksaan, maka untuk melintasi Jembatan eksisting adalah dengan menempatkan Fly Over Bridge (FOB) diatas Jembatan eksisting dengan tinggi 100mm (gap antara bawah FOB dengan aspal Jembatan eksisting) dan tidak boleh menyentuh jembatan existing. Penempatan Ujung Jembatan direkomendasikan dibelakang Abutment Jembatan seperti skema dibawah ini.

Perhitungan lebih lanjut tentang Fly Over Bridge dan kondisi tanah penopang jembatan harus dilakukan untuk menghindari kegagalan struktur jembatan dan tanah pijakan.
Semoga tulisan ini bermanfaat! Jika ingin jasa perhitungan jembatan untuk perlintasan heavy cargo dapat menghubungi penulis. #SimsarRekaGemilang.

do you have bridge strengthening analysis in english version? I tried to translated but still confusing.